Contribution de Patrice Gibertie. Les éléments semblent s'accumuler pour mettre en cause le processus qui a précédé la demande d'Autorisation de Mise sur le Marché conditionnelle du vaccin Pfizer. Il est trop tôt pour dire s'il y aura un "Pfizergate" mais nous donnons à nos lecteurs des éléments d'information et d'analyse. Cet article prête attention à la curieuse chronologie des essais Pfizer, avec des taux de mortalité anormalement bas pour la durée invoquée (rapportée à la mortalité générale de la population américaine). C'est une approche originale, qui contribue au débat.
L’original de cette contribution peut être lu sur le Blog de Patrice Gibertie: https://pgibertie.com/2021/11/05/pfizergate-de-gros-doutes-sur-la-duree-du-suivi/
(Les intertitres sont de la rédaction du Courrier des Stratèges)

Les chiffres allégués

Les participants ont reçu deux injections, à 21 jours d’intervalle, de BNT162b2 ou de placebo,
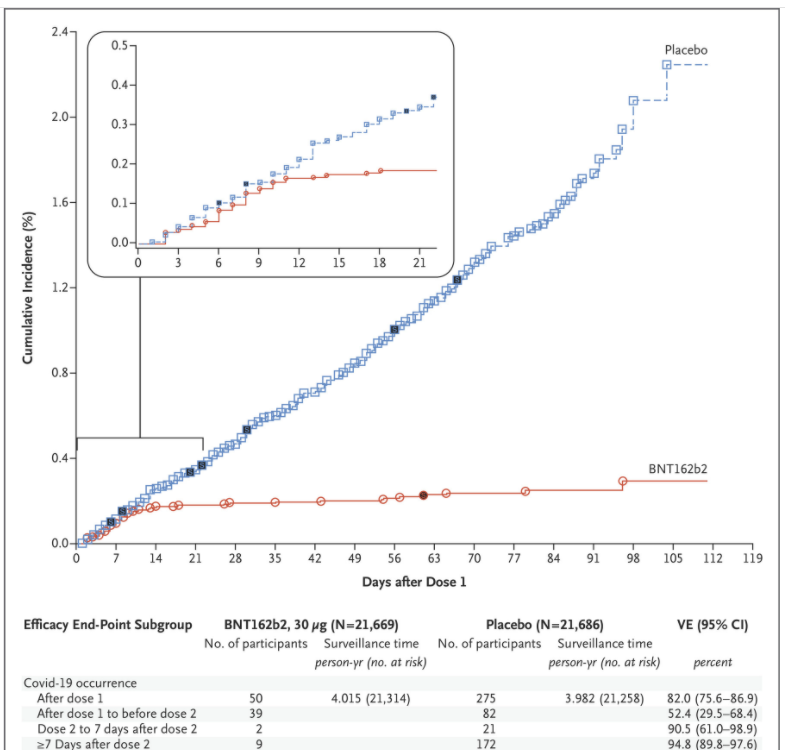
Les données sur les événements indésirables jusqu’à environ 14 semaines après la deuxième dose sont incluses dans ce rapport et indiquées dans les courbes ci-dessus. (New England Journal of Medicine)
C’est donc pendant 17 semaines soit 4 mois que l’observation aurait du avoir lieu (6 mois annoncés)
En réalité sans doute deux fois moins
Suivre pendant 4 MOIS 44 000 personnes et n’enregistrer que 35 décès toutes causes , c’est statistiquement impossible, soit les chiffres sont inventés soit le suivi n a duré que quelques semaines . Dans la vraie vie on aurait enregistré à minima trois fois plus de décès
Les performances de l’essai Pfizer ne sont pas glorieuses, un nombre suffisant de dossiers pose problème mais il y a pire…
deux personnes sont décédées du Covid-19 dans le groupe placebo et un dans le groupe vacciné.
21 morts dans le groupe vacciné et 14 dans le groupe placebo toutes causes confondues Il y a eu quatre arrêts cardiaques dans le groupe vacciné contre un seul dans le groupe placebo.
Après un mois : 13,9% d’effets secondaires dans le groupe placebo contre 30,2% dans le groupe vacciné. Pour les effets secondaires graves mettant en jeu le pronostic vital, on est à 176 cas dans le groupe placebo et 283 dans le groupe vacciné,
Toutefois, le chiffre de quatre crises cardiaques semble faible pour 22 000 injectés. Ceci est juste impossible aux USA, pays dans lequel s’est déroulé l’essai et voilà pourquoi :
Ce que nous disent les statistiques de la mortalité aux Etats-Unis
Aux USA, le CDC rapporte chaque année en moyenne 659 000 morts d’arrêts cardiaques sur une population de 328 000 000.
Donc ramené à 22 000 participants dans cet essai clinique sur une période de 6 mois (la durée du suivi total) on aurait dû avoir 659 000/328 000 000 * 22 000 * 0,5 = 22 crises cardiaques dans chaque groupe (autour de 20) mais il n’en est rien.
Comment Pfizer arrive-t-il à ne trouver que quatre cas dans le groupe.
Mieux comment ont-ils pu trouver seulement 35 décès en 6 mois pour 44000 participants. Ce n’ est pas possible
23000 PARTICIPANTS ONT ENTRE 55 et 75 ans , le taux de mortalité annuel normal pour cette catégorie est de 8/10 pour 1000 ce qui donne 200 décès par an
1500 ont plus de 75 ans avec 50 pour 1000 de taux de mortalité donc 75 décès attendus .
Il faudrait y ajouter les décès attendus pour les moins de 55 ans au moins 20 par an
SOIT 395 DECES ATTENDUS POUR 55 SEMAINES et 122 pour les 17 semaines d ‘observation
UN PEU PLUS DE 7 DECES SONT ATTENDUS PAR SEMAINE
C’ est donc à minima 122 décès, trois fois plus qu’observé dans l’étude , IMPOSSIBLE de n’ en avoir que 35 sur dix sept semaines …
CONCLUSION OU LES CHIFFRES SONT BIDOUILLES OU L OBSERVATION DES VACCINES A ETE BIEN PLUS COURTE …..
Réduite de moitié cette observation diviserait par deux l’efficacité annoncée du vaccin
les taux de mortalité dans un pays comme la France:
